Quantification of a metabolic pathway
Carroll KM, Simpson DM, Eyers CE, Knight CG, Brownridge P, Dunn W, Winder CL, Lanthaler K, Pir P, Malys N, Kell DB, Oliver SG, Gaskell SJ, Beynon RJ. (2011) Absolute quantification of a metabolic pathway in yeast: deployment of a complete QconCAT approach. Mol Cell Proteomics. 2011 Sep 19. [PUBMED][PDF]
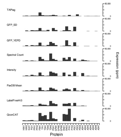
The availability of label-free data derived from yeast cells (based on the summed intensity of the three strongest, isoform-specific peptides) permitted a preliminary assessment of protein abundances for glycolytic proteins. Following this analysis we demonstrate successful application of the QconCAT technology, which uses recombinant DNA techniques to generate artificial concatamers of large numbers of internal standard peptides, to the quantification of enzymes of the glycolysis pathway in the yeast Saccharomyces cerevisiae. A QconCAT of 88kDa (59 tryptic peptides) corresponding to 27 iso-enzymes was designed and built to encode two or three analyte peptides per protein and, after stable isotope labeling of the standard in vivo, protein levels were determined by LC-MS, using ultra high performance liquid chromatography (UHPLC) coupled mass spectrometry. We were able to determine absolute protein concentrations between fourteen thousand and ten million molecules per cell. Issues such as efficiency of extraction and completeness of proteolysis are addressed, as well as generic factors such as optimal quantotypic peptide selection and expression. In addition, the same proteins were quantified by intensity-based label-free analysis and both sets of data were compared with other quantification methods.

The availability of label-free data derived from yeast cells (based on the summed intensity of the three strongest, isoform-specific peptides) permitted a preliminary assessment of protein abundances for glycolytic proteins. Following this analysis we demonstrate successful application of the QconCAT technology, which uses recombinant DNA techniques to generate artificial concatamers of large numbers of internal standard peptides, to the quantification of enzymes of the glycolysis pathway in the yeast Saccharomyces cerevisiae. A QconCAT of 88kDa (59 tryptic peptides) corresponding to 27 iso-enzymes was designed and built to encode two or three analyte peptides per protein and, after stable isotope labeling of the standard in vivo, protein levels were determined by LC-MS, using ultra high performance liquid chromatography (UHPLC) coupled mass spectrometry. We were able to determine absolute protein concentrations between fourteen thousand and ten million molecules per cell. Issues such as efficiency of extraction and completeness of proteolysis are addressed, as well as generic factors such as optimal quantotypic peptide selection and expression. In addition, the same proteins were quantified by intensity-based label-free analysis and both sets of data were compared with other quantification methods.
